Analysis of Quality of Life Among Cervical Cancer Patients Following-Chemoradiotherapy in Tripura, India
DOI:
https://doi.org/10.31557/apjcc.2026.11.2.205-218Keywords:
Cervical cancer; Quality of life; Survivorship; EORTC QLQ-C30; Sexual dysfunction; Cancer rehabilitationAbstract
Introduction: This study aimed to comprehensively evaluate the quality of life (QoL) of cervical cancer survivors, examining the influence of demographic, clinical, and treatment-related factors, and to contextualise these findings with existing national and international literature.
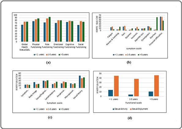
Materials and Methods: A cross-sectional study was conducted among cervical cancer survivors using the EORTC QLQ-C30 and QLQ-CX24 questionnaires. Sociodemographic and clinical data, including age, education, marital status, reproductive history, treatment modality, and FIGO stage, were analyzed to assess associations with QoL domains.
Results: Global health status and functional scores were generally favourable, with physical, cognitive, and role functioning relatively preserved. Sexual activity was the lowest-scoring functional domain. Younger and more educated patients demonstrated better cognitive and social functioning but reported higher sexual anxiety. Chemo-radiotherapy recipients reported improved global health but higher gastrointestinal symptoms. Early-stage disease correlated with superior functional scores and fewer symptoms. Socioeconomic disadvantage was linked to delayed presentation and poorer QoL outcomes. Overall, the quality of life was good for 53% of cervical cancer patients. Education, socioeconomic position, risk variables, cancer stage, and treatment mode were all significantly related to global QOL. Insomnia, loss of appetite, dyspepsia, constipation, financial problems, lymphoedema, peripheral neuropathy, and other symptoms were commonly reported. When compared to stage IV, FIGO stages I–III demonstrated better physical (p = 0.023), cognitive (p = 0.005), and social functioning (p = 0.014) and overall quality of life (QOL).
Conclusions: Cervical cancer survivorship is shaped by treatment type, disease stage, sociodemographic factors, and time since diagnosis. Early detection, education, and targeted interventions addressing physical, sexual, and psychosocial issues are essential. Implications for Cancer Survivors: Integrating survivorship care planning, sexual health counselling, and community awareness programs into routine follow-up can improve long-term QoL, especially for younger, educated, and early-stage survivors. Clinically, supportive measures such as intensitymodulated radiotherapy (IMRT) and standardized supportive care protocols are recommended to reduce long-term gastrointestinal toxicity. Recent studies demonstrate the benefits of modernized chemoradiotherapy regimens in improving both survival and QoL outcomes.


3.jpg)





